Description
People also like
Reviews
Articles
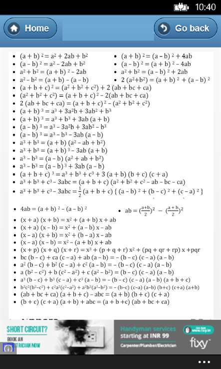
About All Math Formulas
Advertisement
Top downloads
New and rising apps
Best-rated apps
Best-rated games
